La mayoría de las instalaciones eléctricas prácticas están conformadas por circuitos en paralelo, ¿por qué? porque en un circuito en paralelo el voltaje es el mismo en todos los componentes y circuitos derivados.. Por ello es muy importante saber todo lo relacionado a este tema.
¿Qué es un Circuito en Paralelo?
Un circuito en paralelo es un tipo de circuito eléctrico en el cual los componentes están conectados de manera que cada uno de ellos se encuentra en una trayectoria independiente para el flujo de corriente eléctrica. En otras palabras, en un circuito en paralelo, los componentes comparten la misma tensión, pero la corriente se divide entre ellos. Si un componente falla en un circuito en paralelo, los otros componentes continúan funcionando sin interrupción.
Características de un circuito en paralelo
1. Corriente Dividida
La corriente que circula por los elementos principales o trayectorias principales del circuito es igual a la suma de las corrientes de los elementos en derivación, también llamadas ramas en paralelo. ¿Qué quiere decir esto? que la corriente total que circula por el circuito se obtiene al sumar las corrientes que pasan por cada uno de los elementos que lo conforman.

Debe observarse que la corriente total que circula por el circuito en paralelo, depende del número de elementos que estén conectados en paralelo.
2. Independencia de los Componentes
A diferencia de los circuitos en serie, si por alguna razón hay necesidad de remover o desconectar alguno de los elementos en paralelo, esto no afecta a los otros, es decir, no se interrumpe el flujo de corriente. Esta es la razón por la que la conexión en paralelo es la más usada en instalaciones eléctricas.
3. Voltaje Constante
En los circuitos en paralelo, el voltaje a través de cada componente es el mismo y también es igual al voltaje de la fuente de alimentación. Esto se debe a que todos los componentes están conectados directamente a las mismas dos terminales de la fuente de voltaje.
4. Suma de resistencias en paralelo
La resistencia total (equivalente) de un circuito en paralelo es siempre menor que la resistencia de cualquiera de los resistores individuales. Se calcula usando la fórmula:

5. Capacitores en Paralelo
Para capacitores en paralelo, la capacitancia total es la suma de las capacitancias individuales:
Ctotal = C1 + C2 + C3 + … C
6. Inductores en Paralelo
Para inductores en paralelo, la inductancia total se calcula de manera similar a las resistencias:

Circuito en paralelo ejemplos
Instalaciones eléctricas
- En la mayoría de las casas, centros comerciales e industrias, las luces y enchufes están conectados en paralelo. Esto permite que cada luz y cada enchufe funcione de manera independiente. Si una bombilla se quema, las demás seguirán funcionando.
Baterías en Paralelo:
- En algunos dispositivos, como linternas o sistemas de energía solar, las baterías pueden conectarse en paralelo para aumentar la capacidad total sin aumentar el voltaje. Esto significa que la energía almacenada se incrementa, permitiendo un uso más prolongado del dispositivo.
Redes de Computadoras:
- En las redes de área local (LAN), los dispositivos como computadoras, impresoras y routers suelen estar conectados en paralelo a través de un conmutador (switch). Cada dispositivo puede comunicarse con otros sin que la conexión de uno afecte a los demás.
Sistemas de Altavoces:
- En sistemas de sonido, los altavoces pueden conectarse en paralelo para asegurar que todos reciban la misma señal de audio. Esto es común en auditorios, estadios y sistemas de sonido de alta fidelidad.
Cargadores de Dispositivos Múltiples:
- Los cargadores de dispositivos múltiples, como los que tienen varios puertos USB, suelen estar conectados en paralelo. Esto permite cargar varios dispositivos al mismo tiempo, cada uno con el mismo voltaje pero compartiendo la corriente total suministrada.
Paneles Solares:
- En los sistemas de energía solar, los paneles solares pueden conectarse en paralelo para mantener el voltaje constante mientras se incrementa la corriente total disponible, permitiendo mayor generación de energía.
Estos ejemplos ilustran cómo los circuitos en paralelo se utilizan en una variedad de aplicaciones prácticas, proporcionando beneficios como la independencia de componentes, la capacidad de aumentar la energía o la capacidad de manejar múltiples dispositivos simultáneamente.
Circuitos en paralelo y sus partes
Un circuito en paralelo consta de varios componentes clave que permiten su funcionamiento. Aquí están las partes principales:
Fuente de Energía
- Proporciona el voltaje necesario para alimentar el circuito. Puede ser una batería, una fuente de alimentación de corriente continua (DC) o alterna (AC).
Ramas o Caminos
- En un circuito en paralelo, hay múltiples ramas o caminos por los cuales puede fluir la corriente. Cada rama tiene uno o más componentes conectados en serie dentro de ella, pero todas las ramas están conectadas en paralelo entre los mismos dos puntos del circuito.
Componentes o Dispositivos
- Estos son los elementos que están conectados en cada una de las ramas del circuito en paralelo. Pueden ser resistores, capacitores, inductores, bombillas, motores, etc. Cada uno de estos componentes tiene la misma tensión aplicada a través de ellos, pero la corriente a través de cada componente puede ser diferente.
Puntos de Conexión o Nodos
- Los puntos donde las ramas se conectan entre sí y con la fuente de energía se llaman nodos. En un circuito en paralelo, todos los componentes están conectados entre dos nodos principales.
Conexiones o Cables
- Los conductores o cables que conectan la fuente de energía a los componentes y entre los componentes mismos. Los cables deben ser lo suficientemente gruesos para manejar la corriente total sin causar una caída significativa de voltaje.
Interruptores (Opcional)
- Los interruptores se pueden colocar en cualquier rama del circuito para controlar el flujo de corriente a través de esa rama específica sin afectar las otras ramas.
Aquí tienes un diagrama simple de un circuito en paralelo con tres resistores como ejemplo:

Circuito en paralelo formulas
Aquí te dejamos las fórmulas principales que se utilizan para resolver un circuito en paralelo:
1. Resistencia en paralelo fórmula
Para resistencias en paralelo, la resistencia total (equivalente) Rtotal se calcula usando la siguiente fórmula:

Donde R1, R2, R3, …, Rn son las resistencias individuales.
2. Corriente Total:
La corriente total Itotal suministrada por la fuente se calcula como la suma de las corrientes a través de cada rama:
Itotal = I1 + I2 + I3 + … + In
Donde I1, I2, I3, …, In son las corrientes a través de cada resistencia individual. La corriente en cada rama se puede calcular usando la Ley de Ohm:

Donde V es el voltaje total (igual para cada resistencia en paralelo) y Ri es la resistencia de la i-ésima rama.
3. Voltaje Total:
Vtotal = V1 = V2 = V3 = … = Vn
4. Capacitancia Total en Paralelo:
Ctotal = C1 + C2 + C3 + … + Cn
5. Inductancia Total en Paralelo:

Ejercicios resueltos de circuitos en paralelo
Ejercicio 1: Cálculo de la resistencia equivalente y la corriente total
En la figura siguiente se tiene un circuito alimentado a 127 volts con corriente alterna; además tiene conectado en paralelo a los siguientes elementos:
- 1 lámpara de 60 watts
- 1 lámpara de 75 watts
- 1 plancha de 1500 watts
- 1 parrilla eléctrica de 1000 watts
Se desea calcular la resistencia equivalente y la corriente total del circuito.

Solución
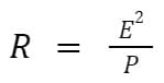
La resistencia se calcula con la fórmula de la ley de ohm dada en este post de la potencia eléctrica:

Donde:
- R = resistencia eléctrica
- E = Voltaje
- P = Potencia
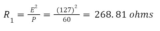
Entonces, la resistencia de la lámpara de 60 watts es:

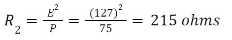
Para la lámpara de 75 watts:

Para la plancha el valor de la resistencia es:

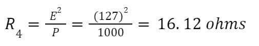
Para la parrilla eléctrica:

La resistencia equivalente de los 4 elementos en paralelo es:

Por tanto:

El circuito equivalente se ilustra en la siguiente figura

La corriente total del circuito usando la fórmula de la ley de ohm es:

La corriente total también se puede calcular como la suma de las corrientes que demanda cada aparato.
La corriente de la lámpara 1 es:
Usando la fórmula:

Donde:
- I = Corriente eléctrica
- P = Potencia eléctrica
- E = Voltaje

La corriente en la lámpara 2

La corriente que demanda la plancha

La corriente en la parrilla eléctrica es

La corriente total para alimentar todas las cargas es:

Ejercicio 2: Cálculo de la Resistencia Total
Problema:
Tres resistencias están conectadas en paralelo: R1 = 100Ω, R2=200 Ω, y R3=300 Ω. Calcula la resistencia total del circuito.
Solución:
La fórmula para calcular la resistencia total en paralelo es:

Sustituimos los valores dados:

Calculamos las fracciones:

Sumamos las fracciones:

Invertimos para encontrar Rtotal:

Ejercicio 3: Cálculo de la Corriente Total
Problema:
Las mismas resistencias del ejercicio anterior (R1=100 Ω, R2=200 Ω, R3=300 Ω) están conectadas en paralelo y se aplican V = 12V. Calcula la corriente total suministrada por la fuente.
Solución:
Primero, calculamos la corriente a través de cada resistencia usando la Ley de Ohm

Sumamos las corrientes individuales para encontrar la corriente total:
Itotal = I1 + I2 + I3 = 0.12A + 0.06A + 0.04A = 0.22A
Ejercicio 4: Cálculo de la Potencia en cada Resistencia
Problema:
Usando los mismos valores de resistencias y voltaje del ejercicio anterior, calcula la potencia disipada en cada resistencia.
Solución:
La fórmula para la potencia es


Conclusión
En resumen, en un circuito en paralelo, los componentes están conectados en trayectorias independientes, compartiendo la misma tensión pero dividiendo la corriente. Esta configuración es esencial para garantizar que los dispositivos y sistemas eléctricos funcionen de manera confiable sin afectar unos a otros.

Muchas gracias. ?Como puedo iniciar sesion?
Pingback: Circuito Eléctrico: Conceptos Básicos, Tipos y Sus Componentes