¿Qué es potencia eléctrica?
La potencia eléctrica es una medida de la tasa a la cual se realiza trabajo o se transfiere energía en un circuito eléctrico. Se puede entender como la cantidad de energía eléctrica que se convierte en otras formas de energía (como luz, calor, o movimiento) por unidad de tiempo.
La potencia eléctrica (P) se define como el producto de la tensión (V) y la corriente (I) en un circuito.
Fórmula de la potencia eléctrica
La fórmula para calcular la potencia en un circuito es:
P = E x I
Donde:
P = potencia en watts.
E = voltaje o fuerza electromotriz en volts.
I = corriente en amperes.
Comúnmente, la mayoría de los dispositivos como lámparas, calentadores, secadoras, lavadoras, etc., expresan su potencia en watts, por lo tanto, a veces es necesario manejar la fórmula anterior en distintas maneras en forma semejante a la Ley de Ohm.

Un uso simplificado de estas expresiones es el de tipo gráfico como se muestra en la siguiente imagen:

En qué se mide la potencia eléctrica
- Watts (W): La unidad estándar de potencia en el Sistema Internacional de Unidades (SI).
- Kilowatts (kW): 1 kW = 1000 W, comúnmente utilizado para medir la potencia de dispositivos de mayor consumo.
- Megawatts (MW): 1 MW = 1,000,000 W, utilizado para grandes sistemas eléctricos como plantas de energía.
Formas de Potencia Eléctrica
Potencia Activa (P):
- También conocida como potencia real o verdadera.
- Es la potencia que realiza trabajo útil y se convierte en otras formas de energía, como luz o calor.
- Se mide en watts (W).
- Fórmula en corriente alterna (CA) resistiva: P = V × I × cos(ϕ), donde cos(ϕ) es el factor de potencia.
Potencia Reactiva (Q):
- Es la potencia que oscila entre la fuente y la carga debido a los componentes reactivos (inductancias y capacitancias) del circuito.
- No realiza trabajo útil pero es necesaria para el funcionamiento de dispositivos como motores y transformadores.
- Se mide en volts-amperes reactivos (VAR).
- Fórmula: Q = V × I × sin(ϕ).
Potencia Aparente (S):
- Es la combinación vectorial de la potencia activa y la potencia reactiva.
- Representa la potencia total demandada por el circuito.
- Se mide en volts-amperes (VA).
- Fórmula:
![]()
Potencia eléctrica con qué se mide
Existen aparatos de lectura directa denominados wáttmetros que son muy útiles, particularmente en los circuitos de corriente alterna.
Dentro de un wáttmetro se tienen dos bobinas, una de corriente y una de voltaje, y para facilitar su uso se acostumbra indicar con una marca de polaridad los puntos de conexión para facilitar más su uso.


Debido a que la unidad de potencia, el watt, es muy pequeña, se acostumbra usar los múltiplos de 1000 watts o kilowatts (kw).
1000 watts = 1 kilowatt.
Aplicaciones y Relevancia
- Medición de Consumo: La potencia eléctrica es fundamental para medir el consumo de energía en hogares, industrias y sistemas eléctricos. Las compañías eléctricas facturan a los consumidores en base a la energía consumida, que es la potencia eléctrica integrada en el tiempo.
- Diseño de Circuitos: Es esencial para dimensionar y diseñar circuitos eléctricos y electrónicos, asegurando que los componentes puedan manejar las cargas esperadas.
- Eficiencia Energética: La gestión y optimización de la potencia eléctrica pueden reducir costos y mejorar la eficiencia energética en aplicaciones industriales y comerciales.
- Protección Eléctrica: La correcta medición y control de la potencia eléctrica ayudan a proteger los sistemas eléctricos contra sobrecargas y fallas.
Cómo calcular la potencia eléctrica
Supongamos que tenemos un foco incandescente conectado a un voltaje de 127 V y toma una corriente de 0.47 A y su potencia es de:
P = E x I = 127 x 0.47 = 59.69 ≈ 60 watts

Ya que la potencia es disipada por la resistencia de cualquier circuito eléctrico, es conveniente expresarla en términos de la resistencia (R). De la Ley de Ohm.
E = IR de modo que se sustituye esta expresión en la fórmula P = EI
Se obtiene: P = (IR)I lo que es igual P = I²R
Se puede derivar otra expresión útil para la potencia sustituyendo

en la expresión: P = EI, quedando entonces.

Así, por ejemplo, si la lámpara tiene una resistencia de 271.6 ohms, su potencia se puede calcular a partir de su voltaje de operación como:

Cómo calcular la potencia eléctrica de un motor
Calcular la potencia eléctrica de un motor es un proceso que puede variar según si el motor es de corriente continua (CC) o de corriente alterna (CA). Aquí te explico cómo hacerlo para ambos tipos:
Motores de Corriente Continua (CC)
Para calcular la potencia eléctrica de un motor de corriente continua, se utiliza la siguiente fórmula básica:
P = V × I
Donde:
- P es la potencia en watts (W).
- V es el voltaje aplicado al motor en volts (V).
- I es la corriente que consume el motor en amperes (A).
Ejemplo:
Si tienes un motor de CC al que se le aplica un voltaje de 12 V y consume una corriente de 2 A, la potencia eléctrica será:
P = 12 V × 2 A = 24 W
Motores de Corriente Alterna (CA)
Para los motores de corriente alterna, el cálculo de la potencia es un poco más complejo debido a factores como el factor de potencia y la naturaleza trifásica de algunos motores.
Motores Monofásicos
Para motores monofásicos, la fórmula es:
P = V × I × cos(ϕ)
Donde:
- P es la potencia en watts (W).
- V es el voltaje aplicado al motor en volts (V).
- I es la corriente que consume el motor en amperes (A).
- Cos(ϕ) es el factor de potencia (una medida de cuán eficientemente el motor utiliza la electricidad), por lo general viene especificado en los datos de la placa del motor.
Ejemplo:
Si tienes un motor monofásico que opera a 230 V, consume 4 A, y tiene un factor de potencia de 0.8, la potencia eléctrica será:
P = 230 V × 4 A × 0.8 = 736 W
Motores Trifásicos
Para motores trifásicos, la fórmula es un poco diferente:
![]()
Donde:
- P es la potencia en watts (W).
- V es el voltaje aplicado al motor en volts (V).
- I es la corriente que consume el motor en amperes (A).
- Cos(ϕ) es el factor de potencia.
Ejemplo:
Si tienes un motor trifásico que opera a 400 V, consume 10 A, y tiene un factor de potencia de 0.9, la potencia eléctrica será:
![]()
Ejercicios de potencia eléctrica
Ejercicio 1. ¿Cuál es el valor de potencia que consume y qué corriente circula por una lámpara que tiene una resistencia de 268.5 ohm y se conecta a una alimentación de 127 volts?
Solución:
El circuito equivalente es el siguiente:

La potencia consumida es:

La corriente que circula es:

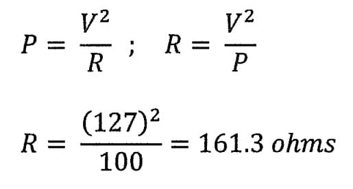
Ejemplo 2. En una parrilla eléctrica están ilegibles algunos datos de placa y no se puede leer la potencia, pero cuando se conecta a una alimentación de 127 volts demanda una corriente de 11.81 A, calcular la resistencia y la potencia de la parrilla.

El circuito equivalente del problema es el siguiente:

De acuerdo con la ley de ohm la resistencia es:

La potencia que consume es:

Ejemplo 3. Se tiene una lámpara de 100 watts que se alimenta a 127 volts y opera durante 20 horas. Calcular el valor de su resistencia, la corriente que demanda y la energía que consume.
Calculamos la resistencia:

La corriente se obtiene de la expresión:

La energía que consume es:

O bien:

Conclusión
Los sistemas eléctricos, ya sea una simple batería que opera una campana, o una compleja instalación industrial que alimenta un gran número de lámparas y motores eléctricos, y que tiene el propósito de producir alumbrado y hacer girar los motores para accionar bombas, ventiladores, transportadores, etc., o bien, producir calor, tienen como propósito final: desarrollar una potencia o producir un trabajo.

Pingback: Circuitos en paralelo
Pingback: Interruptor Termomagnético: Funcionamiento y aplicaciones
Pingback: Ley de ohm
Pingback: Circuito en Serie: Guía Completa con Fórmulas y Ejercicios
mea gustado y muy bien explicado